In recent years, website blocking has become one of the most widely-used anti-piracy enforcement mechanisms in the world.
ISPs in several dozen countries prevent subscribers from accessing a variety of ‘pirate’ sites. While new blocks are added every month, research on the effectiveness of these efforts is rather limited.
Early Piracy Blocking Research
One of the earliest pieces of academic research, based on UK data, showed that the local Pirate Bay blockade had little effect on legal consumption. Instead, pirates turned to alternative pirate sites, proxies, or VPNs to bypass the virtual restrictions.
A follow-up study added more color and brought hope for rightsholders. The research showed that once a large number of sites were blocked in the UK, overall pirate site traffic decreased. At the same time, the researchers observed an increase in traffic to legal services such as Netflix.
These academic studies originated at Carnegie Mellon University. They were conducted independently but the research received sizable gifts from the Motion Picture Association. The movie industry group often cites these results to show that site blocking is effective.
New Blocking Study Adds Nuance
The two blocking papers and their results are founded on quality research, but they’re not without limitations. One shortcoming is that they are based on UK data that may differ from how blocking measures affect piracy and legal consumption in other parts of the world.
A recently released study can partly fill this gap. It was conducted by researchers from the Catolica-Lisbon School of Business and Economics in Portugal, in collaboration with a colleague who, again, is affiliated with Carnegie Mellon University.
Instead of looking at UK data, the researchers analyzed data from a country where a voluntary pirate site blocking scheme was introduced at some point.
The target country isn’t mentioned but considering that the researchers are Portuguese, paired with the fact that Portugal is one of the few countries which has a voluntary blocking scheme, we can take an informed guess.
Tracking Internet, TV, and Spending Habits
Similar to the UK research, the new study uses a natural experiment, namely, the introduction of ISP blocking efforts. The researchers relied on survey data and received help from a telco provider who provided anonymous data on a random sample of 100k subscribers.
These data can differentiate BitTorrent users from the general sample and includes other metrics such as upload and download traffic, paid VoD expenses, aggregate TV viewership time, as well as daily BitTorrent use.
This treasure trove of data resulted in an article of which a preprint copy was published recently. The writeup has yet to be peer-reviewed but the results are interesting enough to warrant an early inspection.
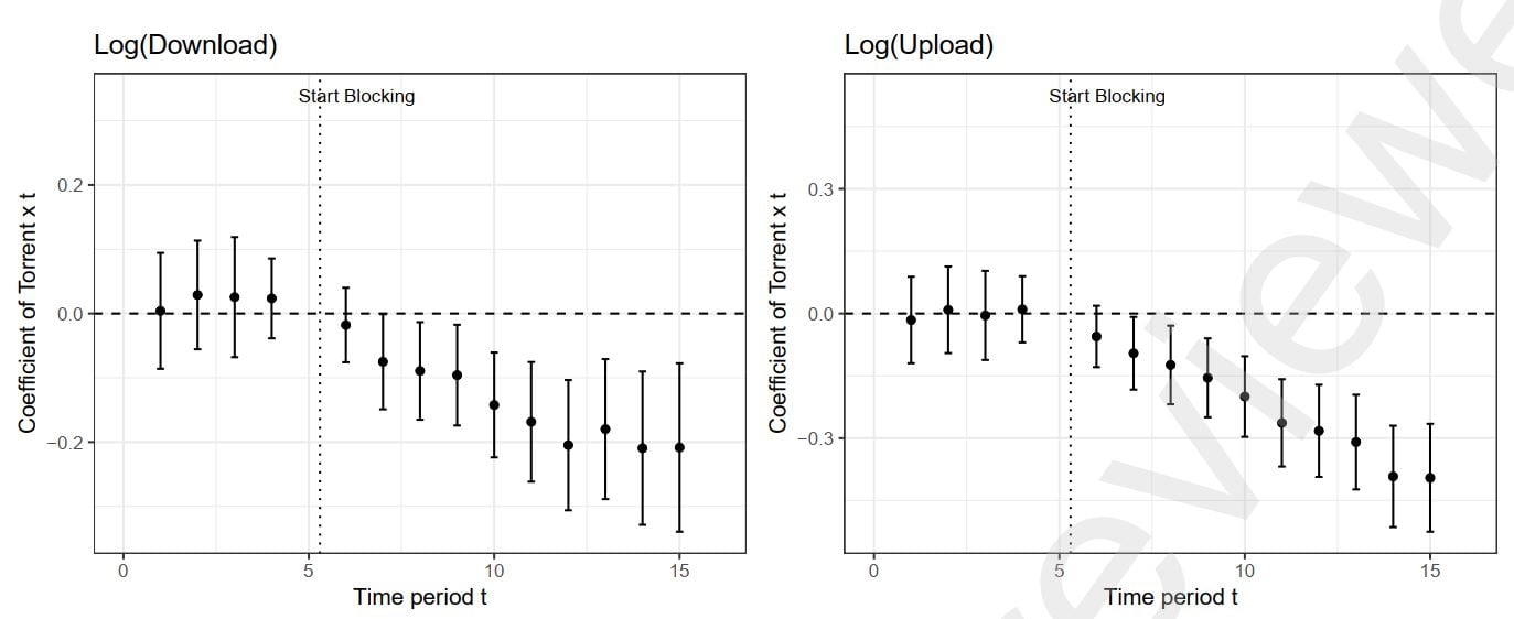
Less Traffic
One of the main and most unique findings is that blocking measures have a clear effect on the Internet traffic generated by BitTorrent users. Both upload and download usage decreased significantly for (former) BitTorrent users, without a noticeable rebound over time.
This finding is backed up by an overall drop in the percentage of households that used BitTorrent, which clearly declined and continued to do so in the months after the blockades were implemented. All in all, this suggests that piracy has decreased as well.
“Our results show that blocking access to copyright infringing websites reduces Internet traffic, which proxies piracy activity,” the researchers write.

Interestingly, the drop in upload and download traffic is asymmetric, with a relatively larger decrease in upload traffic. The researchers suggest that this could potentially mean that some BitTorrent users switched to streaming piracy, which doesn’t require uploading, or to legal streaming services that were not measured.
VPN Searches Spiked
The data sample also covered search activity, which was sourced from Google trends. The researchers specifically examined the terms “proxy”, “VPN”, and “DNS” which all spiked when the blocking measures were implemented.
We have seen similar patterns in other countries where site-blocking measures first appeared. This would suggest that people were trying to find ways to circumvent the blockades.

After a few months, search activity returns to normal levels, but by then, most persistent pirates will have figured out how to access the blocked sites.
“These figures suggest that although website blocking seems to have been effective in leading some households away from piracy, some users learnt how to circumvent the DNS blocks and likely continued downloading content from the blocked websites,” the researchers note.
No Boost in Legal Alternatives
Ideally, pirate site blocks should positively impact legal consumption. For example, people could use VoD services more, show interest in paid TV channels, and increase regular TV viewing.
However, when comparing the legal use of BitTorrent users before and after the widespread blocking measures, the researchers found little effect.
“We found no statistically significant changes in the consumption of the paid legal alternatives considered, only a very modest increase in TV viewership. These results suggest that the website blocks were effective in curbing digital piracy but did not benefit offline legal alternatives.”
The referenced modest effect translates to a 2.5-minute increase in total TV time for these pirates and a 1.8-minute boost in viewership for channels dedicated to movies and TV shows.
Limitations
These results show that site blocking impacts Internet traffic and presumably piracy too. However, a boost in legal activity is not guaranteed. There are some important caveats to this overall conclusion, however.
One drawback is that legal movie and TV streaming alternatives in the researched country were rather underdeveloped at the time. The availability and use of services such as Netflix was limited, for example.
This means that the results may have been different in a country with more legal options. And in general, the researchers note that results in one region, can’t always be generalized to other countries.
In addition, the findings are limited to mostly BitTorrent piracy. They don’t show how usage of other pirate options, such as streaming sites and IPTV may have changed.
All in all, however, we can say that the study adds some very welcome extra insight into the effectiveness of pirate site blockades.
—
A copy of the preprint publication titled ‘Controlling Digital Piracy Via Domain Name System Blocks: A Natural Experiment’, is available on SSRN.
Reis, Filipa and Godinho de Matos, Miguel and Ferreira, Pedro, Controlling Digital Piracy Via Domain Name System Blocks: A Natural Experiment. http://dx.doi.org/10.2139/ssrn.4335662
From: TF, for the latest news on copyright battles, piracy and more.
Powered by WPeMatico